Maximum Allowable Stress Value For Stainless Steel 316 . • the production and treatment condition of the. Web grade 316 stainless steel comes with a minimum tensile stress of 515 mpa, a minimum yield stress of 205 mpa, and a minimum elongation of 40% in 50mm. Web 28 rows the 316 family is a group of austenitic stainless steels with superior corrosion resistance to 304 stainless steels. Web grade 316l stainless steel physical properties are listed in the table below such as density, melting point, specific heat, electrical. Web correct and extend allowable stress values for 304 and 316 stainless steel. Web maximum permissible stress is a design practice, this means it is a relative value depend on three factors;
from excel.civilmdc.com
Web grade 316 stainless steel comes with a minimum tensile stress of 515 mpa, a minimum yield stress of 205 mpa, and a minimum elongation of 40% in 50mm. • the production and treatment condition of the. Web 28 rows the 316 family is a group of austenitic stainless steels with superior corrosion resistance to 304 stainless steels. Web correct and extend allowable stress values for 304 and 316 stainless steel. Web grade 316l stainless steel physical properties are listed in the table below such as density, melting point, specific heat, electrical. Web maximum permissible stress is a design practice, this means it is a relative value depend on three factors;
Allowable Compressive Stress Table C36 / C50 (AISCASD89) Excel Sheets
Maximum Allowable Stress Value For Stainless Steel 316 Web correct and extend allowable stress values for 304 and 316 stainless steel. • the production and treatment condition of the. Web correct and extend allowable stress values for 304 and 316 stainless steel. Web maximum permissible stress is a design practice, this means it is a relative value depend on three factors; Web 28 rows the 316 family is a group of austenitic stainless steels with superior corrosion resistance to 304 stainless steels. Web grade 316 stainless steel comes with a minimum tensile stress of 515 mpa, a minimum yield stress of 205 mpa, and a minimum elongation of 40% in 50mm. Web grade 316l stainless steel physical properties are listed in the table below such as density, melting point, specific heat, electrical.
From exoyqkhax.blob.core.windows.net
Stainless Steel 304 Vs 316 Strength at Larry London blog Maximum Allowable Stress Value For Stainless Steel 316 • the production and treatment condition of the. Web correct and extend allowable stress values for 304 and 316 stainless steel. Web 28 rows the 316 family is a group of austenitic stainless steels with superior corrosion resistance to 304 stainless steels. Web grade 316l stainless steel physical properties are listed in the table below such as density, melting point,. Maximum Allowable Stress Value For Stainless Steel 316.
From www.numerade.com
SOLVED PROBLEM 2.93 Knowing that, for the plate shown, the allowable Maximum Allowable Stress Value For Stainless Steel 316 Web grade 316 stainless steel comes with a minimum tensile stress of 515 mpa, a minimum yield stress of 205 mpa, and a minimum elongation of 40% in 50mm. Web 28 rows the 316 family is a group of austenitic stainless steels with superior corrosion resistance to 304 stainless steels. Web maximum permissible stress is a design practice, this means. Maximum Allowable Stress Value For Stainless Steel 316.
From www.chegg.com
Solved Consider an 188 Mo stainless steel component Maximum Allowable Stress Value For Stainless Steel 316 Web correct and extend allowable stress values for 304 and 316 stainless steel. Web maximum permissible stress is a design practice, this means it is a relative value depend on three factors; • the production and treatment condition of the. Web grade 316l stainless steel physical properties are listed in the table below such as density, melting point, specific heat,. Maximum Allowable Stress Value For Stainless Steel 316.
From repairfixmenyeid50.z4.web.core.windows.net
Bolt Torque Chart Grade 8 Maximum Allowable Stress Value For Stainless Steel 316 Web maximum permissible stress is a design practice, this means it is a relative value depend on three factors; Web grade 316 stainless steel comes with a minimum tensile stress of 515 mpa, a minimum yield stress of 205 mpa, and a minimum elongation of 40% in 50mm. • the production and treatment condition of the. Web grade 316l stainless. Maximum Allowable Stress Value For Stainless Steel 316.
From mungfali.com
Shear Stress Calculation Maximum Allowable Stress Value For Stainless Steel 316 Web grade 316l stainless steel physical properties are listed in the table below such as density, melting point, specific heat, electrical. Web 28 rows the 316 family is a group of austenitic stainless steels with superior corrosion resistance to 304 stainless steels. Web correct and extend allowable stress values for 304 and 316 stainless steel. Web grade 316 stainless steel. Maximum Allowable Stress Value For Stainless Steel 316.
From www.researchgate.net
Allowable stress values for the spatial 25bar truss. Download Table Maximum Allowable Stress Value For Stainless Steel 316 Web grade 316l stainless steel physical properties are listed in the table below such as density, melting point, specific heat, electrical. Web maximum permissible stress is a design practice, this means it is a relative value depend on three factors; Web 28 rows the 316 family is a group of austenitic stainless steels with superior corrosion resistance to 304 stainless. Maximum Allowable Stress Value For Stainless Steel 316.
From www.scribd.com
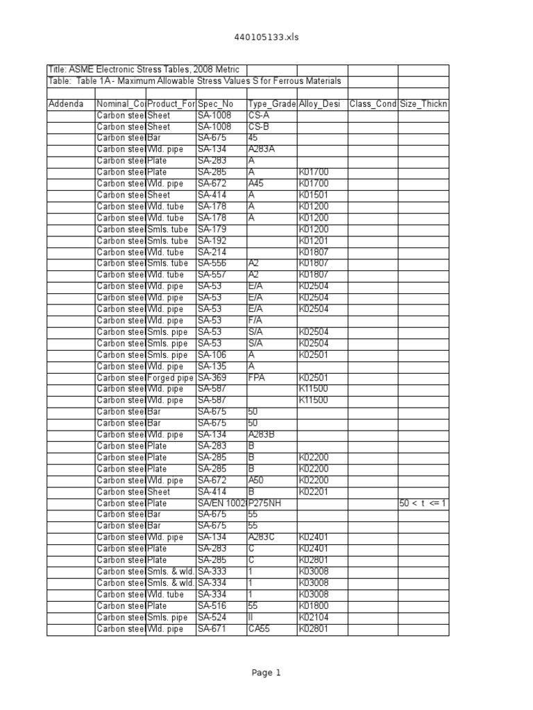
Table 1A Maximum Allowable Stress Values S For Ferrous Materials Maximum Allowable Stress Value For Stainless Steel 316 Web grade 316 stainless steel comes with a minimum tensile stress of 515 mpa, a minimum yield stress of 205 mpa, and a minimum elongation of 40% in 50mm. Web correct and extend allowable stress values for 304 and 316 stainless steel. Web maximum permissible stress is a design practice, this means it is a relative value depend on three. Maximum Allowable Stress Value For Stainless Steel 316.
From www.elevate.in
Title ASME Electronic Stress Tables, 2004 Metric Edition, 41 OFF Maximum Allowable Stress Value For Stainless Steel 316 Web grade 316l stainless steel physical properties are listed in the table below such as density, melting point, specific heat, electrical. Web maximum permissible stress is a design practice, this means it is a relative value depend on three factors; Web 28 rows the 316 family is a group of austenitic stainless steels with superior corrosion resistance to 304 stainless. Maximum Allowable Stress Value For Stainless Steel 316.
From exohuqbna.blob.core.windows.net
What Is Stainless Steel Test at Margaret Hamilton blog Maximum Allowable Stress Value For Stainless Steel 316 Web grade 316l stainless steel physical properties are listed in the table below such as density, melting point, specific heat, electrical. Web correct and extend allowable stress values for 304 and 316 stainless steel. Web 28 rows the 316 family is a group of austenitic stainless steels with superior corrosion resistance to 304 stainless steels. Web grade 316 stainless steel. Maximum Allowable Stress Value For Stainless Steel 316.
From www.rjsales.com
Allowable Working Pressures (Type 316L) Maximum Allowable Stress Value For Stainless Steel 316 Web grade 316 stainless steel comes with a minimum tensile stress of 515 mpa, a minimum yield stress of 205 mpa, and a minimum elongation of 40% in 50mm. Web correct and extend allowable stress values for 304 and 316 stainless steel. Web maximum permissible stress is a design practice, this means it is a relative value depend on three. Maximum Allowable Stress Value For Stainless Steel 316.
From exoesbdcv.blob.core.windows.net
Torque Settings For Grade 8 Bolts at Jean Hartman blog Maximum Allowable Stress Value For Stainless Steel 316 Web 28 rows the 316 family is a group of austenitic stainless steels with superior corrosion resistance to 304 stainless steels. Web grade 316l stainless steel physical properties are listed in the table below such as density, melting point, specific heat, electrical. Web correct and extend allowable stress values for 304 and 316 stainless steel. • the production and treatment. Maximum Allowable Stress Value For Stainless Steel 316.
From www.scribd.com
For Uplode Type 316 Schedule 10s Allowable Working Pressure PDF Maximum Allowable Stress Value For Stainless Steel 316 Web grade 316 stainless steel comes with a minimum tensile stress of 515 mpa, a minimum yield stress of 205 mpa, and a minimum elongation of 40% in 50mm. Web grade 316l stainless steel physical properties are listed in the table below such as density, melting point, specific heat, electrical. Web 28 rows the 316 family is a group of. Maximum Allowable Stress Value For Stainless Steel 316.
From www.researchgate.net
Observed Stress values (Maximum allowable stress values) of nitrogen Maximum Allowable Stress Value For Stainless Steel 316 Web 28 rows the 316 family is a group of austenitic stainless steels with superior corrosion resistance to 304 stainless steels. Web grade 316l stainless steel physical properties are listed in the table below such as density, melting point, specific heat, electrical. Web correct and extend allowable stress values for 304 and 316 stainless steel. Web maximum permissible stress is. Maximum Allowable Stress Value For Stainless Steel 316.
From materialwelding.com
ASME Section II part DGuide to allowable stress tables Maximum Allowable Stress Value For Stainless Steel 316 Web maximum permissible stress is a design practice, this means it is a relative value depend on three factors; • the production and treatment condition of the. Web grade 316l stainless steel physical properties are listed in the table below such as density, melting point, specific heat, electrical. Web correct and extend allowable stress values for 304 and 316 stainless. Maximum Allowable Stress Value For Stainless Steel 316.
From www.scribd.com
Asme Allowable Stress Table Stainless Steel Steel Maximum Allowable Stress Value For Stainless Steel 316 Web 28 rows the 316 family is a group of austenitic stainless steels with superior corrosion resistance to 304 stainless steels. Web correct and extend allowable stress values for 304 and 316 stainless steel. • the production and treatment condition of the. Web grade 316l stainless steel physical properties are listed in the table below such as density, melting point,. Maximum Allowable Stress Value For Stainless Steel 316.
From excel.civilmdc.com
Allowable Compressive Stress Table C36 / C50 (AISCASD89) Excel Sheets Maximum Allowable Stress Value For Stainless Steel 316 Web grade 316l stainless steel physical properties are listed in the table below such as density, melting point, specific heat, electrical. Web 28 rows the 316 family is a group of austenitic stainless steels with superior corrosion resistance to 304 stainless steels. Web maximum permissible stress is a design practice, this means it is a relative value depend on three. Maximum Allowable Stress Value For Stainless Steel 316.
From www.scribd.com
Allowable Stress Values of Stainless Steel and Carbon Steel .pdf Maximum Allowable Stress Value For Stainless Steel 316 Web maximum permissible stress is a design practice, this means it is a relative value depend on three factors; • the production and treatment condition of the. Web correct and extend allowable stress values for 304 and 316 stainless steel. Web 28 rows the 316 family is a group of austenitic stainless steels with superior corrosion resistance to 304 stainless. Maximum Allowable Stress Value For Stainless Steel 316.
From www.youtube.com
Mechanics of Materials Example Allowable Stress YouTube Maximum Allowable Stress Value For Stainless Steel 316 • the production and treatment condition of the. Web grade 316l stainless steel physical properties are listed in the table below such as density, melting point, specific heat, electrical. Web 28 rows the 316 family is a group of austenitic stainless steels with superior corrosion resistance to 304 stainless steels. Web maximum permissible stress is a design practice, this means. Maximum Allowable Stress Value For Stainless Steel 316.